Ëæ×Ź¤ÒµµÄÉú³¤£¬¹¯ÎÛȾԽÀ´Ô½ÑÏÖØ¡£ÓÉÓÚ¹¯µÄÎÛÈ¾ÌØÐÔ£¬²»ÒׯÊÎö¼°×ªÒÆ¡£Ôì³ÉÁËʳƷÖи»¼¯ÁËÖÖÖÖº¬¹¯»¯ºÏÎ´Ó¶øµ¼ÖÂÖÖÖÖÂýÐÔ¡¢¼±ÐÔ¹¯Öж¾Ê¼þƵ³ö¡£Ä¿Ç°£¬Ê³Æ·Öй¯µÄÖ÷Òª±£´æÐÎʽ¿É·ÖΪÎÞ»ú¹¯ºÍÓлú¹¯Á½´óÀ࣬ÆäÖÐÓлú¹¯µÄ¶¾ÐÔÔ¶´óÓÚÎÞ»ú¹¯£¬ÎÞ»ú¹¯Ö÷ÒªÊǶÔÉöÔàÓж¾ÐÔ×÷Ó㬶øÓлú¹¯Ö÷Òª¶ÔÄÔ×éÖ¯É˺¦±È½Ï´ó¡£Òò´Ë¶Ô¹¯ÐÎ̬µÄ¼à²âÏÔµÃÓÈÎªÖØÒª¡£
±¾ÎIJο¼¹ú¼ÒÎÀÉúºÍ¼Æ»®ÉúÓýίԱ»áÐû²¼µÄ¡¶GB 5009.17-2014 ʳƷÖм׻ù¹¯µÄ²â¶¨¡·£¬Í¨¹ýHPLC-ICPMSÁªÓ㬽ÓÄÉC18Öù£¬ÀûÓõȶÈÏ´Íѵķ½·¨¶ÔÏ¡Ëá½þÌáºóµÄ´óÃ×½øÐÐÁËÆÊÎö£¬Í¬Ê±¶ÔÑùÆ·½ÓÄÉÁ˼ӱ괦Àí£¬ÇÒ¼Ó±ê½ÓÄÉÂÊÁ¼ºÃ¡£²âÊÔ½á¹û±êÃ÷£¬¸ÃÒªÁìÄܹ»¿ìËÙ׼ȷµØ½øÐдóÃ×ÑùÆ·Öй¯ÐÎ̬µÄÆÊÎö¡£
1.ÒÇÆ÷¼ò½é
±¾ÒªÁì½ÓÄÉSkyray Instrument LC-310EÓëICP-MS 2000EÁªÓ㬽ÓÄÉÒ»¼üʽÊý¾ÝÊÕÂÞ¡¢¾«×¼Ê½Æ×ͼ¶¨Î»¼°Ç¿´óµÄÈí¼þÆ×ͼ´¦Àí¹¦Ð§£¬¿ÉÂú×ã²î±ðµÄÐÎ̬²âÊÔÐèÇó£¨Èçͼ1£©¡£
ͼ1.HPLC-ICPMSÁªÓò⹯ÐÎ̬µÄÆÊÎöÒÇ
2.²âÊÔÔÀí
ÑùÆ·ÈÜÒº¾¹ýǰ´¦Àí£¬ÓÉHPLC½øÑù¿Ú½øÑù£¬¾É«Æ×ÖùÊèÉ¢£¬Í¨¹ýÎí»¯Æ÷Îí»¯ºóËÍÈë¸ßεÈÀë×ÓÌåÖУ¬¸ÉÔï¡¢Ô×Ó»¯¡¢µçÀë£¬ÔªËØÀë×Ó¾½Ó¿ÚÊÒ½øÈëÖÊÆ×ÒÇ£¬Í¨¹ýÀë×Ó͸¾µÏµÍ³¡¢ÖÊÁ¿ÆÊÎöÆ÷¼°¼ì²âÆ÷£¬¼ì²âÆ÷¶ÔÏàÓ¦ÔªËØÀë×Ó×ö³öÏìÓ¦£¨Ã¿ÃëÀë×Ó¼ÆÊýcps£¨counts
per second£©£¬¾Èí¼þ´¦Àí£¬ÏìӦǿ¶ÈºÍʱ¼ä×é³ÉµÄ·åÃæ»ýÓëÏàÓ¦×éÊèÉ¢×ÓŨ¶È³ÉÕý±È¹ØÏµ½øÐж¨ÐÔ¶¨Á¿ÆÊÎö¡£
3.ʵÑ鲿·Ö
3.1ʵÑéÉ豸¼°ÊÔ¼Á
ÒºÏàÉ«Æ×-µç¸ÐñîºÏµÈÀë×ÓÌåÖÊÆ×ÁªÓÃÒÇ£¨ÃÀʨ¹ó±ö»á£©£»
µç×ÓÌìÆ½£¨BSA224S£¬Èü¶àÀû˹£©£»
É«Æ×Öù£¨Ultimate XB-C18£¬4.6¡Á150mm£¬5¦Ìm£©£»
³¬´¿Ë®ÏµÍ³£¨Millipore£¬µç×èÂÊΪ18.25M¦¸¡¤cm£©£»
ÑÎËᣨÓż¶´¿£¬Scharlau£©£»
°±Ë®£¨Óż¶´¿£¬ÉϺ£¾§´¿ÊÔ¼ÁÓÐÏÞ¹«Ë¾£©£»
ÒÒËáï§£¨Óż¶´¿£¬°¢À¶¡»¯Ñ§ÊÔ¼Á£©£»
L£°ëë×°±ËᣨÉúÎï´¿£¬°¢À¶¡»¯Ñ§ÊÔ¼Á£©£»
¼×´¼£¨É«Æ×´¿£¬Oceanpak É«Æ×´¿ÊÔ¼Á£©£»
¹¯ÐÎ̬±ê×¼ÈÜÒº£¨Ë®Öй¯GBW£¨E£©083186¡¢¼×»ù¹¯GBW£¨E£©083364¡¢ÒÒ»ù¹¯GBW£¨E£©081524£¬Öйú¼ÆÁ¿¿ÆÑ§Ôº£©£»
³¬Éù²¨£¨KH-500E,À¥É½ºÌ´´£©£»
Ë«¹¦Ð§Ë®Ô¡ºãÎÂÕñµ´Æ÷£¨SHA-B,½ËÕ¹ú»ª£©£»
¸ßËÙÀëÐÄ»ú£¨TG16G,¿ÌØ£©¡£
3.2ÑùƷǰ´¦Àí
³ÆÈ¡´óÃ×ÑùÆ·1.0g£¨¾«È·ÖÁ0.001g£©£¬ÖÃÓÚ15mLµÄÀëÐĹÜÖУ¬¼ÓÈë10mLµÄÑÎËáÈÜÒº£¨5mol/L£©¾²ÖÃÁôËÞ¡£ºó¾³£ÎÂˮԡÕñµ´60min£¬ÓÚ4¡æÏÂÒÔ8000r/minµÄתËÙ½øÐÐÀëÐÄ15min¡£È¡ÉϲãÇåÒº2mLÖÁ5mLµÄÈÝÁ¿Æ¿ÖУ¬ÓÃÏ¡°±Ë®µ÷ÀíPHµ½7.0£¬ÔÙ¼ÓÈë0.1mLµÄL£°ëë×°±Ëᣨ10g/L£©£¬×îºóÓó¬´¿Ë®¶¨ÈÝÖÁ¿Ì¶È²¢Ò¡ÔÈ¡£ÓÃ0.45¦ÌmµÄÓлúϵÂËĤ¹ýÂ˺󣬴ý²â¡£
3.3Á÷¶¯Ï༰¹¯ÐÎ̬±ê×¼ÈÜÒºÅäÖÆ
3.3.1Á÷¶¯ÏàµÄÅäÖÆ
60mmol/LÒÒËáï§£«0.1%L-°ëë×°±Ëᣫ5%¼×´¼£º³ÆÈ¡4.627gÒÒËáï§£¬1.21gL-°ëë×°±ËáÓÚ100mLÈÝÁ¿Æ¿ÖУ¬¼ÓÈëÉÙÁ¿µÄ³¬´¿Ë®²¢ÓÚµçÈȰåÉϼÓÈÈʹÆäÍêÈ«Èܽ⣬ÀäÈ´ºó¶¨ÈÝÖÁ100mL¡£½«¶¨ÈݺõÄÈÜÒºÒÆÈë1000mLµÄÁÜϴҺƿÖУ¬Í¬Ê±¼ÓÈë50mLµÄ¼×´¼£¬¶¨ÈÝÖÁ1L¡£¾0.45¦ÌmµÄÓлúϵÂËĤ¹ýÂ˺ó£¬ÓÚ³¬Éù²¨³¬ÉùÍÑÆø30min£¬ÏÖÓÃÏÖÅä¡£
3.3.2¹¯ÐÎ̬±ê×¼ÈÜÒº£º
ÈýÖÖ¹¯±ê×¼ÈÜÒº½ÓÄÉÁÜϴҺƾ¾ÝÌݶÈŨ¶ÈµÄ·½·¨ÒÀ´Î±»Ï¡ÊÍΪ1.0?g/L¡¢2.0.?g/L¡¢4.0?g/L¡¢8.0?g/L¡¢10.0?g/L »ìÏý±ê×¼ÈÜÒº£¬Í¬Ê±ÅäÖÆ5?g/LÈýÖÖ¹¯ÐÎ̬µÄµ¥±êÈÜÒº£¬ÓÃÀ´ÅбðÿÖÖ¹¯ÐÎ̬µÄ³ö·åʱ¼ä¡£
3.4ʵÑéÌõ¼þ
3.4.1É«Æ×Ìõ¼þ
É«Æ×Ìõ¼þÏê¼û±í1¡£
±í1. HPLCÆÊÎöÌõ¼þ
|
²ÎÊý
|
²ÎÊýÉ趨
|
|
É«Æ×Öù
|
Ultimate XB£C18£¬5¦Ìm£¬150¡Á4.6mm¡£
|
|
Á÷¶¯Ïà
|
60mmol/LÒÒËáï§£«0.1%L-°ëë×°±Ëᣫ5%¼×´¼£¨pH=7.0£©¡£
|
|
Á÷ ËÙ
|
1.0mL/min
|
|
Öù ÎÂ
|
25¡æ
|
|
½øÑùÁ¿
|
100¦ÌL
|
|
Ï´ÍѳÌÐò
|
µÈ¶ÈÏ´ÍÑ
|
3.4.2ÖÊÆ×Ìõ¼þ
ICP-MSÆÊÎöÌõ¼þ¼û±í2¡£
±í2.ICP-MSÆÊÎöÌõ¼þ
|
²ÎÊý
|
²ÎÊýÉ趨
|
²ÎÊý
|
²ÎÊýÉ趨
|
|
¹¦ ÂÊ
|
1300W
|
µÈÀë×ÓÆø
|
13L/min
|
|
¸¨ÖúÆø
|
1.06L/min
|
ÔØ Æø
|
1.2L/min
|
|
²ÉÑùÉî¶È
|
16
|
ÆÊÎöģʽ
|
±ê׼ģʽ
|
|
´ý²âÖÊÁ¿Êý
|
202
|
פÁôʱ¼ä
|
10ms
|
3.5ʵÑé½á¹û
3.5.1±ê×¼ÇúÏß
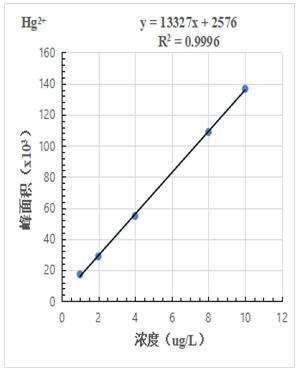
ƾ¾Ý»ìÏý±ê×¼ÈÜҺŨ¶È1.0?g/L¡¢2.0.?g/L¡¢4.0?g/L¡¢8.0?g/L¡¢10.0?g/L ½øÑù»ñµÃÉ«Æ×ͼ£¬ÅÌËãÆä·åÃæ»ý£¬ÒÔŨ¶ÈºÍ·åÃæ»ý»æÖƱê×¼ÇúÏߣ¬ÏßÐÔÏà¹ØÏµÊý¾ù´óÓÚ0.999£¬½á¹ûÏê¼ûͼ2-1~2-3¡£
ͼ2-1.Hg2+±ê×¼ÇúÏß
ͼ2-2.MetHg±ê×¼
ͼ2-3.EtHg±ê×¼ÇúÏß
3.5.2É«Æ×Êèɢͼ
1.0?g/L¡¢2.0.?g/L¡¢4.0?g/L¡¢8.0?g/L¡¢10.0?g/L ¹¯ÐÎ̬»ìÏý±ê×¼ÈÜÒºÊèɢɫͼÆ×Èçͼ3Ëùʾ£¬ÆäÖÐÎÞ»ú¹¯£¨Hg2+£©¡¢¼×»ù¹¯£¨MetHg£©¡¢ÒÒ»ù¹¯£¨EtHg)Ïà¶Ô±£´æÊ±¼ä»®·ÖΪ118s¡¢185s¡¢379s£¬´ÓÆ×ͼµþ¼ÓͼÉÏ¿ÉÒÔ¿´³ö£¬ÈýÖÖ¹¯ÐÎ̬³ö·åʱ¼äÎȶ¨£¬ÇÒÊèÉ¢¶È½ÏºÃ¡£
ͼ3. ¹¯ÐÎ̬»ìÏý±ê×¼ÈÜÒºÊèɢͼÆ×
3.5.3 ¼ì³öÏÞ
Èçͼ4ËùʾΪ1.0?g/L¹¯ÐÎ̬»ìºÍ±ê×¼ÈÜÒºÊèɢͼÆ×£¬ÒÔ¸÷ÐÎ̬·åËÄÖÜ»ùÏß´¦µÄ3±¶ÐÅÔë±È£¨S/N)·å¸ß¶ÔÓ¦µÄŨ¶È×÷Ϊ¼ì³öÏÞ£¬ÈÜÒºÖÐHg2+¡¢MetHg¡¢EtHg»®·ÖΪ0.112?g/L¡¢0.0718?g/L¡¢0.0698?g/L¡£
ͼ4. 1.0?g/L¹¯ÐÎ̬»ìÏý±ê×¼ÈÜҺͼÆ×
3.5.4 ²âÊÔ½á¹û
ÒÔ´óÃ×ÑùƷΪÊÔÑù£¬½øÐÐÏ¡Ëá½þÌᣬͬʱΪÁË¿¼²ìÒªÁìµÄ׼ȷÐÔ£¬²¢¶Ô´óÃ×ÊÔÑù½ÓÄÉÁ˼ӱêµÄ·½·¨£¬²âÊÔ½á¹ûÏê¼û±í3¡£
±í3 ´óÃ×ÑùÆ·¼°ÑùÆ·¼Ó±ê½á¹û
|
×é·ÖÃû³Æ
|
Ï¡ÊͺóŨ¶È
|
ÔҺŨ¶È
|
¼Ó±êºóŨ¶È
|
¼Ó±ê½ÓÄÉÂÊ
|
|
£¨?g/L£©
|
£¨?g/kg£©
|
£¨?g/L£©
|
£¨%£©
|
|
ÎÞ»ú¹¯
|
0.227
|
5.68
|
5.84
|
112
|
|
¼×»ù¹¯
|
δ¼ì³ö
|
ND
|
4.50
|
90
|
|
ÒÒ»ù¹¯
|
δ¼ì³ö
|
ND
|
4.67
|
93
|

ͼ5. ´óÃ×ÑùÆ·¼°ÑùÆ·¼Ó±ê5.0?g/LͼÆ×
4. ½áÂÛ
±¾ÎĽ¨Á¢ÁËLC-ICPMS²âÊÔ´óÃ×Öй¯ÐÎ̬µÄÆÊÎöÒªÁ죬½á¹û±êÃ÷¸ÃÒªÁì¼ì³öÏ޵͡¢²âÊÔ½á¹û׼ȷ£¬Æä¼Ó±ê½ÓÄÉÂÊÔÚ90%~112%Ö®¼ä£¬ÏßÐÔÏà¹ØÏµÊý¾ùÔÚ0.999ÒÔÉÏ£»Í¬Ê±¹¯µÄÈýÖÖÐÎ̬Äܹ»ÔÚ8min×óÓÒÍê³É£¬ÇÒÊèÉ¢¶È½ÏºÃ£¬¸ÃÒªÁì¿ÉÂú×ãʳƷÖдóÃ×ÑùÆ·¹¯ÐÎ̬ÆÊÎöµÄÒªÇó¡£
5.²Î¿¼ÎÄÏ×
[1] ¹ú¼ÒÎÀÉúºÍ¼Æ»®ÉúÓýίԱ»áÐû²¼ GB 5009.17-2014ʳƷÄþ¾²¹ú¼Ò±ê×¼ ʳƷÖм׻ù¹¯µÄ²â¶¨ ÒºÏàÉ«Æ×-Ô×ÓÓ«¹â¹âÆ×ÁªÓÃÒªÁ죬2015¡£